【好文分享】Buck電路功耗計算(一)-KIA MOS管
信息來源:本站 日期:2022-04-19
Buck電路的損耗,主要發生在功率路徑上,也就是較大電流通過的器件上:MOSFET、電感、二極管(非同步控制器)。
根據Buck電路的幾個工作階段,我們分別討論MOSFET的損耗
第一個階段:上管打開的過程:
在開關過程中產生的損耗,MOSFET處于放大區,下管關閉幾乎沒有電流。
在上管打開過程中,上管的電壓Vds不斷減小,電流Ids不斷增加。我們簡單的可以認為是線性增減。此時輸出電流處于谷底,最小值。如果近似的看成是電流平均值即輸出電流值,則可以簡單計算如下:
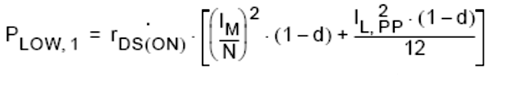
如果需要考慮電流紋波,則計算公式如下:
第二個階段:上管完全導通、下管關閉。
上管MOSFET處于打開狀態,上MOSFET等效于一個電阻即為MOSFET的導通阻抗Rds(on),Rds(on)上面流經電流的損耗。此時,下管沒有電流,功耗全部集中在上管上。
打開的時間是由占空比決定的:上管打開的時間約等于T*D。
電流近似計算時,可以看作就是Buck電源的輸出電流。如果細算起來,就需要考慮在上管打開過程中,電流是逐步變大的,我們需要對這個電流增大的過程進行積分計算,考慮到電流逐步變大的過程。
如果電流紋波足夠小,我們可以近似認為上管打開過程電流沒變化。則這個計算非常容易,就是直接計算,就可以:
如果紋波帶來的影響不可忽略,則我們需要進行積分運算。我們從開始開啟的電流進行積分,即最小電流處,積分到最大電流處。此處運用牛頓-萊布尼茲公式,計算定積分。
第三個階段,上管關閉的過程
上管打開的過程和關閉的過程是類似的計算方法,此處只是電流為整個周期的最大值,因為經歷了一個充電的過程,電流此時處于峰值。另外就是上管關閉的時間,會與上管打開的時間不一樣。我們計算公式如下:
第四個階段,此時上管已經完全關閉,下管暫時還沒有打開,稱為死區時間
我們需要理解,任何控制器都需要控制避免上下管同時打開,如果出現這個狀態,則非??赡軣埽驗橄喈斢谕ㄟ^上下管把輸入電源和GND進行了短路。
為了避免這種狀態,只好在上管關閉之后,等待一個時間段,再對下管進行打開的操作。而在兩個MOSFET都關閉的狀態,我們就稱為死區時間。這個時間,主要依賴下管的寄生二極管進行續流,實現輸出電流的一個回路。
此時的功耗,就是下管的寄生二極管的功耗,也就是二極管的正向導通壓降乘以此時的電流。在開關開關的過程中,會有兩個階段經歷死區時間,所以下管的死區時間功耗計算公式如下:
第五階段,下管導通
導通功耗,因為很顯然下管的功耗是在電流通過MOS的DS溝道之間的電阻(rDS(ON))產生的。下面公式可估算下MOS管的導通功耗。
下管的導通損耗,近似的可以看作是:
如果考慮紋波,可以用以下公式進行計算:
聯系方式:鄒先生
聯系電話:0755-83888366-8022
手機:18123972950
QQ:2880195519
聯系地址:深圳市福田區車公廟天安數碼城天吉大廈CD座5C1
請搜微信公眾號:“KIA半導體”或掃一掃下圖“關注”官方微信公眾號
請“關注”官方微信公眾號:提供 MOS管 技術幫助
免責聲明:本網站部分文章或圖片來源其它出處,如有侵權,請聯系刪除。
